Anything the Fitness Nut Tries Will Work for Him/Her, But Will It Work for You?
Fitness Nut swears that his/her program is the bee’s knees, the be all end all, greatest program that you need to be on to get fit. Truth is you don’t have to follow Fitness Nut’s program because there are one million different ways to become fit…
walking, running, bike commuting, road cycling, mountain biking, various team sports, kayaking, canoeing, hiking, mountain climbing, skiing, snowboarding, snowshoeing, weight lifting, CrossFit, circuit training, Pilates, yoga, barre, swimming, body weight workouts, TRX, resistance bands, machines, free weights, plyometrics, surfing, kickboxing, spin class, hip hop dancing, karate/martial arts, high intensity interval training, gymnastics, lightning tag, capture the flag, obstacle course races, parkour, skateboarding, roller blading, tennis, squash, badminton, paintball, you name it.
Well, maybe there aren’t one million ways to become fit but there are hundreds of combinations. Add in the nearly unlimited types of diets you can go on…
*good calories/bad calories, paleo/primal diets, detox, brain food, raw foods, juicing, metabolism boosting foods, food for your body type, anti-sugar, blood sugar/glycemic, anti-grain, anti-fat, anti-dairy, optimal macronutrient blends, calorie counting, fighting food addiction, pH-based diets, fasting/alternative day fasting, time restricted eating, superfoods, meal replacement, small frequent meals, plant-based, Atkins, Weight Watchers, Mediterranean, Ketogenic, Zone, South Beach, Whole 30, Beach Body, and on and on… *
and voila, you’ve got a nearly unlimited number of ways to meet your diet and exercise needs. What I just listed is a tiny fraction of the most popular diets/dietary habits of the past several years. If you chose one way to become fit and one way to eat from these lists, you would have 1,320 options available to choose from! It can be extremely confusing trying to figure out what exercise routine and diet type are right for you.
If you talk to a personal trainer, nutritionist or Instagram celebrity you may be lead to believe that -insert diet and exercise routine here- is the best program. The Instagram pictures/profiles/stories are pretty compelling. I mean, have you seen some of these people?! Many of them have a particular diet or exercise routine that they absolutely swear by. They got that way by ‘such and such’ diet. They are now the product they are selling. But, the thing of it is…
Why do I say this? Because I know that the Instagram Fitness Nut has two things going for him that you may or may not have:
1) Strict adherence: It doesn’t matter how extreme, how crazy, mundane or otherwise difficult, Fitness Nut is going to be able to adhere to that program. That program is (likely) their life, their number one priority. You don’t just get that way by accident. It is the adherence and not the routine itself that is of critical importance. In fact, he could probably use completely opposing diet regimens such as the very low carbohydrate ketogenic diet OR the low fat high-carbohydrate diet to get to that coveted six pack.
The program that Fitness Nut follows is his hobby, his job, his livelihood, his passion, his everything. He has dedicated hours upon hours to his program. He’s constantly thinking about it, planning out meals and workouts, fantasizing/dreaming about getting even bigger and better, gaining more fame and grabbing more “likes” and views. He became famous due to the adoption of his program and trying to convince others that this particular program is your golden ticket, your path to success. Fame is a powerful tool. Fitness Nut has thousands and most likely hundreds of thousands of followers. He can’t disappoint them by “falling off the wagon”. You’re watching him and keeping him honest.
**2) Genetics: **there is also a very good chance that Fitness Nut is genetically gifted. He is likely in the top percentile in terms of response to exercise. We know that people’s response to exercise differs dramatically due to unknown genetic factors. See figure 1 for an example of this.
Figure 1. Individual Changes in Muscle Strength (a) and Muscle Size (b) due to a 20-24-week resistance training program. Black bars represent males and grey bars, females. In response to training, strength changes vary between -6% to +60% for the same training. Reference: Ahtianen, JP, 2016, AGE.
“The people that didn’t respond as well to exercise probably didn’t exercise as intensely.”
Nope, exercise sessions were monitored closely. Non-responders (i.e., those that did not exhibit an increase in muscle strength/size) exercised at the same intensity as the responders.
“Well, they must not have attended as many exercise sessions”
Nope, wrong again. They exercised as many days as the high responders.
It turns out that some people simply have a more robust response to exercise than others. Now, what if you happen to be one of those individuals that just doesn’t seem to respond to exercise? Are you a hopeless cause? Nope, but you might have to exercise harder or longer to achieve the response you are aiming for.
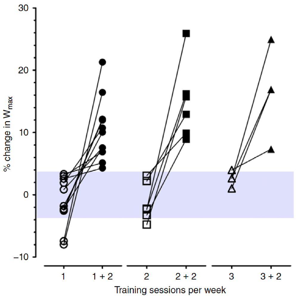
Figure 2. Individuals Labeled ‘Non-Responders’ by a Lack of a Training Response to 6 Weeks of Moderate Intensity Aerobic Training, underwent an Additional 6 Weeks of Training Sessions (and Responded Robustly). The shaded purple area represents a ’non-response’ to the first 6 weeks of training. Individuals that responded to the initial 6 weeks of exercise training are excluded from this graph. There were 3 groups that did not respond to the first 6-week training session. Groups 1, 2, and 3 exercised for 1, 2 or 3 sixty-minute exercise sessions/week, totaling 60, 120, or 180 total minutes of exercise each week. In the second, six-week training session (weeks 7-12), each group increased their weekly exercise time by 2 exercise sessions (1 + 2, 2 + 2, and 3 + 2 respectively). X-axis = training sessions per week, Y-axis = % change in power increase expressed in Watts; this measurement represents their increase in aerobic capacity and fitness. Reference: Montero & Lundby, 2017, J PHYSIOL.
There were three separate training regimens used in the first 6 weeks of the study (all at a moderate intensity):
- Group 1 exercised for 60 minutes 1x/week (60 min total)
- Group 2 exercised for 60 minutes 2x/week (120 min total)
- Group 3 exercised for 60 minutes 3x/week (180 min total) The open circles (group 1), squares (group 2), and triangles (group 3) show the individual responses people had to the initial 6 weeks of training. The shaded purple area represents their “non-response” to the first 6 weeks of training.
The “non-responders” were then asked to complete a second, 6-week training session (weeks 7-12). In weeks 7-12 each group increased their weekly exercise time by 2 exercise sessions/week:
- Group 1 (1 + 2) exercised for 60 minutes 3x/week (180 min total)
- Group 2 (2 + 2) exercised for 60 minutes 4x/week (240 min total)
- Group 3 (3 + 2) exercised for 60 minutes 5x/week (300 min total) The results from weeks 7-12 (represented by shaded circles, squares, and triangles), show that each group responded like “responders”, increasing their aerobic fitness!! In summary: Exercise works, some people just need a little more stimulus to adapt.
The Bottom Line: The bottom line is, there are one million different ways to be fit and healthy. **Your mission is to find the one that is right for you. The program that you like and can stick to. **For the majority of the general population, there is no “right” or “wrong” way, provided you aren’t doing something extreme, you’re unlikely to hurt yourself. Find the combination that works for you. Don’t be afraid to experiment. And stop being so concerned about what “the best” diet or exercise plan is and just do it.
Remember, consistency is king!!!!! Whatever it is that you choose to do, do it consistently for at least 4-6 weeks. Log your workouts and if necessary, log your food intake as well. Be honest with yourself. If you’ve been consistent with your new routine and haven’t seen the results you want to see, one of three things are going on:
- your expectations are too high.
- you are a low to moderate responder.
- you need to increase the amount of effort you are putting into your diet and exercise routine. So, the next time an Instagram Fitness Nut (or your co-worker for that matter) tells you that diet and exercise plan “xyz” is just the greatest. Shake your head up and down in agreement and say, “oh yeah, that’s great Bob, I’ll have to try that sometime," while knowing that any diet and exercise plan can work, you just need to find the one that is right for you. Todd Weber PhD, RD